Предмет: Математика,
автор: sdobnikovaanna171
помогите пожалуйста дам 15 баллов сделаю ответ лучшим
Приложения:
sdobnikovaanna171:
помогите пожалуйста,прошу
Ответы
Автор ответа:
2
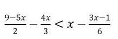
(9 - 5х)/2 - 4х/3 < х - (3х - 1)/6
Общий знаменатель 6
3(9 - 5х)/(3•2) - 2•4х/(2•3) < 6х/6 - (3х - 1)/6
(27 - 15х)/6 - 8х/6 < 6х/6 - (3х - 1)/6
27 - 15х - 8х < 6х -3х + 1
-15х - 8х - 6х + 3х < -27 + 1
-26х < -26
х > -26 : (-26)
х > 1
Общий знаменатель 6
3(9 - 5х)/(3•2) - 2•4х/(2•3) < 6х/6 - (3х - 1)/6
(27 - 15х)/6 - 8х/6 < 6х/6 - (3х - 1)/6
27 - 15х - 8х < 6х -3х + 1
-15х - 8х - 6х + 3х < -27 + 1
-26х < -26
х > -26 : (-26)
х > 1
спасибо огромное
Рада помочь)
Автор ответа:
0
Ответ:
Пошаговое объяснение:
Умножим обе части неравенства на 6 и получим:
3*(9-5х) - 2*4х < 6х - 3х + 1
27 - 15х - 8х < 3х + 1
27 - 23х < 3х + 1
27 - 1 < 3х +23х
26 < 26х
х > 1
Похожие вопросы
Предмет: Русский язык,
автор: чистова1
Предмет: Английский язык,
автор: msgulya737
Предмет: Окружающий мир,
автор: venerakekhyan
Предмет: Геометрия,
автор: Neznayka7105
Предмет: Математика,
автор: Аноним