Предмет: Математика,
автор: Аноним
помогите решить пожалуйста !!!!!
Приложения:
Ответы
Автор ответа:
0
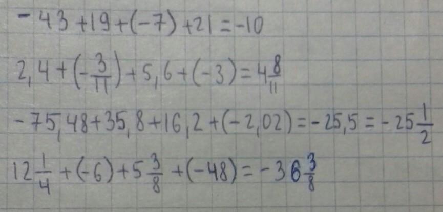
Ответ:
Ответ на фото
Пошаговое объяснение:
Ответ на фото
Приложения:
Похожие вопросы
Предмет: Русский язык,
автор: 123456tata
Предмет: Русский язык,
автор: yasyapotapova7
Предмет: Русский язык,
автор: Рррр111
Предмет: Биология,
автор: ситораэргашевп
Предмет: Геометрия,
автор: srostov77