Предмет: Алгебра, автор: ViciPotteromanka

Умножить на множители
Или как еще там,помогите please
очень нужно..☕​

Приложения:

Ответы

Автор ответа: nursamal
1
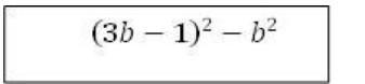
(3b-1)^2-b^2=(3b-1-b)(3b-1+b)

ViciPotteromanka: мне нужно полное и правильное решение..
nursamal: (3b-1)^2-b^2=(3b-1-b)(3b-1+b)=(2b-1)(4b-1)
ViciPotteromanka: спасибо..
bobokayfi16: (3b-1)^2-b^2=(3b-1+b)(3b-1+b)=(2b-1)×(4b-1)
ViciPotteromanka: ээ
ViciPotteromanka: ясно,спасибо
Автор ответа: manyny06
1

Ответ:

решение смотри на фотографии

Приложения:

ViciPotteromanka: А.. это правильно?
ViciPotteromanka: мм?
nursamal: Да
Похожие вопросы