Предмет: Алгебра,
автор: Аноним
СРОЧНО ДАЮ 25 БАЛЛОВ ОТВЕТЬТЕ
Выполни действия:
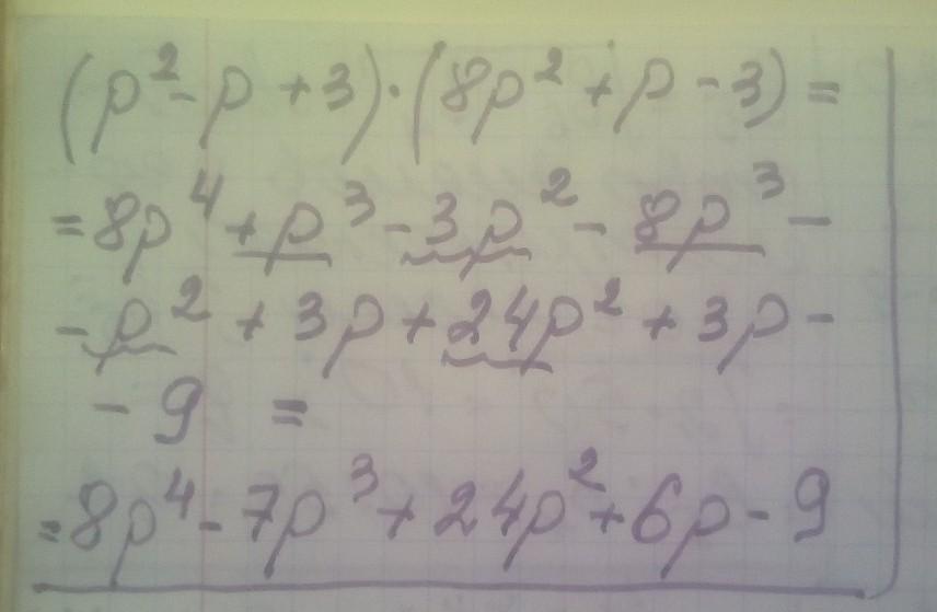
(
p
2
−p+3)⋅(8
p
2
+p−3)
.
Приложения:
Ответы
Автор ответа:
1
Ответ:
решение смотри на фотографии
Приложения:
Похожие вопросы
Предмет: Русский язык,
автор: smwmarisha
Предмет: Русский язык,
автор: zorya1404
Предмет: Русский язык,
автор: mantivl
Предмет: Математика,
автор: sabrinaorlova2
Предмет: Русский язык,
автор: nevzorova1988