Предмет: Математика, автор: timuru888000

пожалуйста умаляю пжпжпжпж​

Приложения:

Ответы

Автор ответа: malinaserikova
0

Ответ:

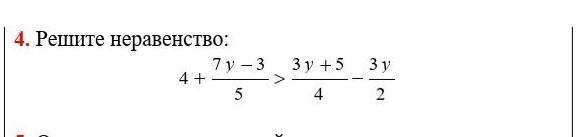
4 +  \frac{7y - 3}{5}  >  \frac{3y + 5}{4}  -  \frac{3y}{2}

80 + 4(7y - 3) > 5(3y + 5) - 30y

80 + 28y - 12 > 5(3y + 5) - 30y

80 + 28y - 12 > 15y + 25 - 30y

68 + 28y > 15y + 25 - 30y

68 + 28y >  - 15y + 25

68 + 28y + 15y > 25

28y + 15y > 25 - 68

43y > 25 - 68

43y >  - 43

y >  - 1

Похожие вопросы