Предмет: Математика,
автор: kavotam74
Помогите, СОР Математика 6 класс 3 четверть
Приложения:
Ответы
Автор ответа:
7
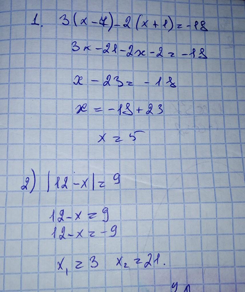
Ответ:
Решила только 1 и 2, как то так)
Приложения:
kavotam74:
Блина, я уже сам сделал эти 2 задания 0_0
Автор ответа:
4
Ответ:
Смотри решение на фото
Приложения:
Похожие вопросы
Предмет: Окружающий мир,
автор: soldatik2
Предмет: Русский язык,
автор: koroteevaIena
Предмет: Русский язык,
автор: воваш
Предмет: Физика,
автор: Sweet1717