Предмет: Математика,
автор: vetta80
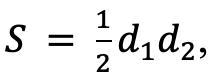
Площадь ромба S (в м2) можно вычислить по формуле где d1, d2 — диагонали ромба (в метрах). Пользуясь этой формулой, найдите диагональ , если диагональ d2 равна 30 м, а площадь ромба 120 м2.
Формула ниже
Приложения:
Ответы
Автор ответа:
2
Ответ:
решение смотри на фотографии
Приложения:
vetta80:
спасибо большое!
Похожие вопросы
Предмет: Русский язык,
автор: радэль2
Предмет: Українська мова,
автор: Olgakatya861
Предмет: Қазақ тiлi,
автор: Аноним
Предмет: Английский язык,
автор: elenaliza26
Предмет: Окружающий мир,
автор: raka2709