Предмет: Математика,
автор: aksultanmusabekov
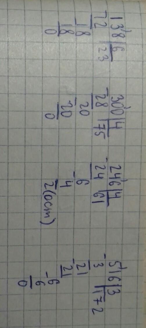
Подчеркни частное, которое разделится с остатком
A) 138:6 Б) 300 : 4 B) 246 : 4 Г) 516:3
A
Ответы
Автор ответа:
2
Частное которое делится с остатком это В) 246:4 ответ 61 остаток 2
8ColorSans8:
спасибо
Автор ответа:
1
Ответ:
Ответ на фото
Пошаговое объяснение:
Отметь 8ColorSans8 лучший ответ
Приложения:
Похожие вопросы
Предмет: Русский язык,
автор: 1234567890185
Предмет: Русский язык,
автор: 2007200
Предмет: Другие предметы,
автор: atambaevmusa
Предмет: Литература,
автор: Таня5681
Предмет: Геометрия,
автор: GoshaRub4inskiy