Предмет: Информатика,
автор: Dmima
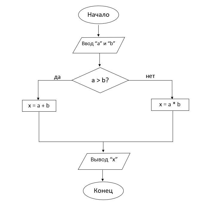
Составить схему алгоритма вычисления значения: x=a+b при a>b x=a*b при a<=b
andrianovyaroslav27:
Начало алгоритма - >Ввод значений а и б - > Проверка (а>б) - > Если да, то: х=а+б, иначе х=а*б - >Вывод значения х - >Конец алгоритма
Ответы
Автор ответа:
2
Привожу пример программы на python3:
a = float(input("Введи первое число: "))
b = float(input("Введи второе число: "))
if a > b:
x = a + b
print("Результат: ", x)
elif a <= b:
x = a * b
print("Результат: ", x)
Блок-схема в приложении.
Приложения:
Похожие вопросы
Предмет: Русский язык,
автор: Leymoo
Предмет: Українська література,
автор: Антоніо17
Предмет: Русский язык,
автор: lilitarame
Предмет: Русский язык,
автор: TemerlanIbraev