Предмет: Алгебра,
автор: murir
Дискрименант срочно решите
Решите уровнения
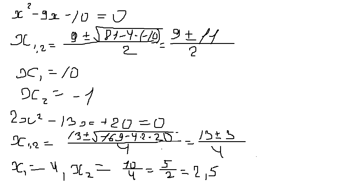
х в квадрате-9х-10=0
2)найдите корни уравнения 2х в квадрате-13х+20=0
Ответы
Автор ответа:
0
получится вот так :)
Приложения:
Похожие вопросы
Предмет: Биология,
автор: Аноним
Предмет: Немецкий язык,
автор: tomi882717
Предмет: Химия,
автор: vklera4228
Предмет: История,
автор: Аноним
Предмет: Математика,
автор: vftdtq