Предмет: Математика,
автор: ilasi3480
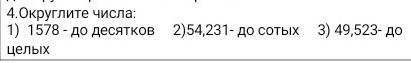
Округлите числа сор паж
Приложения:
Ответы
Автор ответа:
0
1)1580
2)54,200
3)50,000
2)54,200
3)50,000
ilasi3480:
а ты не модель решить задачу
???
Бак заполняется через две трубы: через первую за 17 минут, а через вторую – за 51 минуту. За сколько минут бак заполнится через
две трубы при совместной работе? заранее спс
две трубы при совместной работе? заранее спс
Похожие вопросы
Предмет: Английский язык,
автор: lizaorlovskaya
Предмет: Русский язык,
автор: Малинкаполинка
Предмет: Окружающий мир,
автор: miselenka1
Предмет: Математика,
автор: гарник5