Предмет: Алгебра,
автор: tem4ik1336
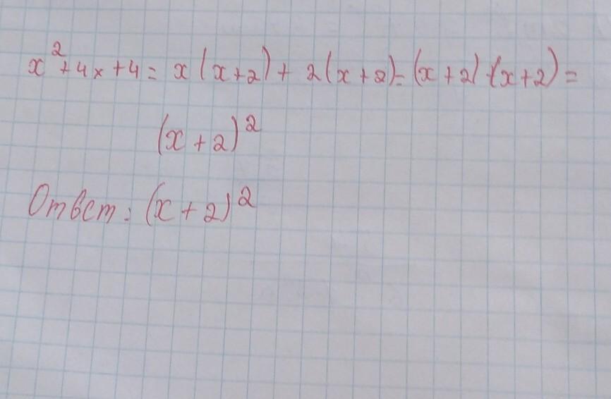
x² + 4x +4 помогите пожалуйста
Ответы
Автор ответа:
0
Ответ:
Приложения:
Похожие вопросы
Предмет: Другие предметы,
автор: Uryoksana
Предмет: Другие предметы,
автор: Laviressafif
Предмет: Русский язык,
автор: fivuri37
Предмет: Українська мова,
автор: Åнąćтасия
Предмет: География,
автор: саша23333