Предмет: Математика, автор: darafirago

Решите системы неравенств (1031-1034)
Не полные ответы не принимаю
Решить нужно только 1031, без вопросов типо а там другие не видно

Приложения:

Ответы

Автор ответа: Аноним
23

Ответ:

 =  =  =  =  =  =  =  =  =  =  =  =

Приложения:

darafirago: Лучший!!
Автор ответа: Artsounds
19

Ответ:

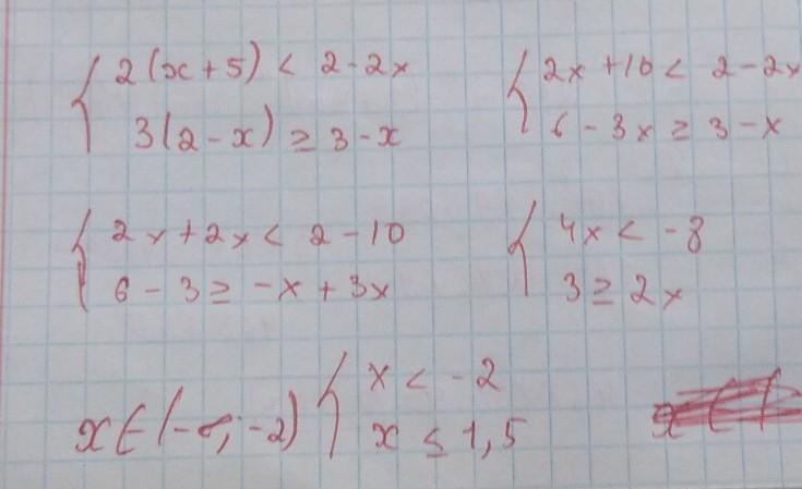
2( x+ 5) < 2 - 2x \\ 3(2 - x) \geqslant 3 - x \\  \\ 2x + 10 < 2 - 2x \\ 6 - 3x \geqslant 3 - x \\  \\ 2x + 2x <  - 10 + 2 \\  - 3x + x   \geqslant  - 6 + 3 \\  \\ 4x <  - 8 \\  - 2x \geqslant  -  3 \\  \\ x < ( - 8) \div 4 \\ x \leqslant ( - 3) \div ( - 2) \\  \\ x <  - 2 \\ x \leqslant  \frac{3}{2}  \\  \\  \\ x \:  \: ( -  \infty  \:  \:  \:  \:  - 2) \\ x <  - 2

-------------------

3(x + 8) > 9 - 2x \\ 3(x + 4) \geqslant x + 5 \\  \\ 3x + 24 > 9 - 2x \\ 3x + 12 \geqslant x + 5 \\  \\ 3x + 2x > 9 - 24 \\ 3x - x  \geqslant 5 - 12 \\  \\ 5x >  - 15 \\ 2x \geqslant  - 7 \\  \\ x > ( - 15) \div 5 \\ x \geqslant ( - 7) \div 2 \\  \\ x >  - 3 \\ x \geqslant   - \frac{7}{2}  \\  \\  \\ x \:  \:  \: ( - 3 \:  \:  \:  \:  +  \infty ) \\ x >  - 3


darafirago: спасибо
Artsounds: рад был помочь
Похожие вопросы