Предмет: Математика,
автор: KausarDaurenova
я дам 50 баллов
Помогите пожалуйста
Приложения:
KausarDaurenova:
пжжж срочноооооооооооо
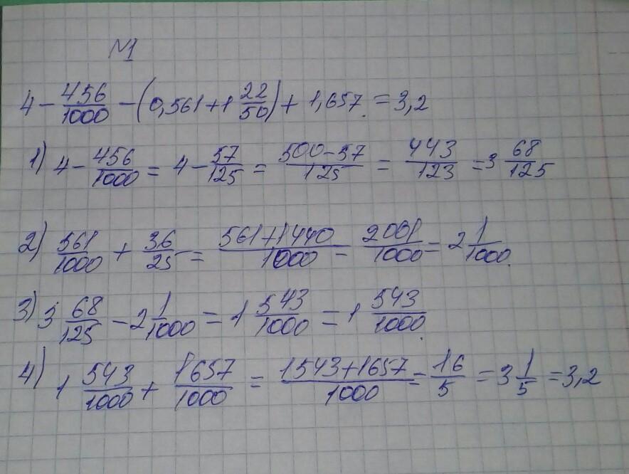
Ответы
Автор ответа:
1
Ответ:
Извини что так поздно ответила тебе
Приложения:
Похожие вопросы
Предмет: Другие предметы,
автор: nlpersonal2012
Предмет: Русский язык,
автор: malikarahman1
Предмет: Окружающий мир,
автор: rulls
Предмет: География,
автор: катя4159
Предмет: Математика,
автор: Серёжа03933