Предмет: Алгебра,
автор: vadim6260
Из пункта A в пункт B, расстояние между которыми 336 км, одновременно выехали два велосипедиста. Известно, что первый велосипедист за час проезжает на 5 км больше, чем второй. Определите скорость второго велосипедиста, если известно, что он прибыл в пункт B на 5 часов позже первого. Ответ дайте в км/ч.
Ответы
Автор ответа:
1
Ответ:
16 км/ч
Объяснение:
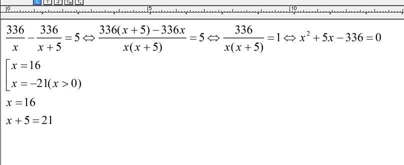
Пусть второй велосипедист ехал из А в В со скоростью x км/час, тогда первый велосипедист ехал со скоростью x +5 км/час. Разность времени велосипедистов составляет 5 часа, откуда имеем:
См. картинку
Откуда искомая скорость второго велосипедиста x=16 км/ч
А скорость первого.хотя про нее и не спрашивается x+5=21 км/ч
Приложения:
onetfriend:
Абсолютно то же самое что в предыдущем вопросе.
И последнее реши пожалуйста
Решишь?
да там систему уравнений составлять, я не оч их люблю
Похожие вопросы
Предмет: Русский язык,
автор: Аноним
Предмет: Русский язык,
автор: AlexB
Предмет: Русский язык,
автор: kristifka
Предмет: Биология,
автор: ник5285
Предмет: Українська мова,
автор: H0LLANDER