Предмет: Математика,
автор: ksesha323
Решите пожалуйста (деление в столбике)
a) 0,24 : 4 + 15,3 : 5 + 12,4:8 + 0,15 : 30;
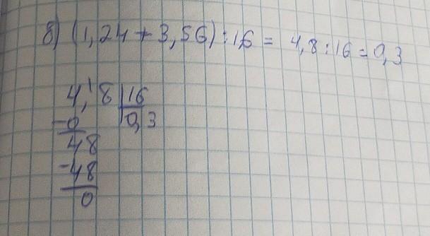
6) (1,24 + 3,56): 16;
Ответы
Автор ответа:
2
......................все на фото
Приложения:
Автор ответа:
1
0,24 : 4 + 15,3 : 5 + 12,4:8 + 0,15 : 30
0,06+3,06+1,55+0,005
Ответ: 4,675
Похожие вопросы
Предмет: Английский язык,
автор: anjelika5
Предмет: Другие предметы,
автор: otsupina
Предмет: Русский язык,
автор: ольга1704
Предмет: Английский язык,
автор: CorgiDog001
Предмет: Русский язык,
автор: rasul63