Предмет: Математика,
автор: aftd5g
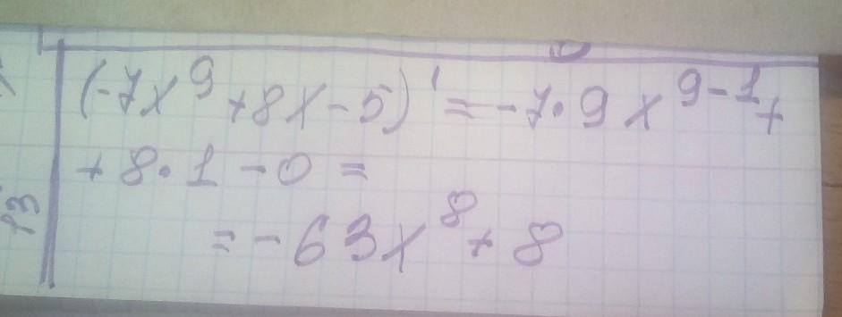
Дана функция −7x9+8x−5.
Вычисли её производную:
f'(x)=
Ответы
Автор ответа:
1
Ответ:
решение смотри на фотографии
Приложения:
Автор ответа:
0
Ответ:
-63x⁸ +8
Пошаговое объяснение:
(-7x⁹ + 8x -5)' = (-7x⁹)' +(8x)' -(5)' = -9*7x⁸ + 8*1 -0 = -63x⁸ +8
Похожие вопросы
Предмет: Английский язык,
автор: cool500
Предмет: Русский язык,
автор: sultan30
Предмет: Русский язык,
автор: ilay2403
Предмет: Математика,
автор: podmarevairina
Предмет: Русский язык,
автор: ivanov221ars