Предмет: Математика,
автор: ulia99115
помогите срочно даю 50 баллов
Приложения:
Ответы
Автор ответа:
2
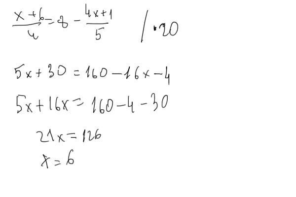
Ответ:
в приложении
Пошаговое объяснение:
Приложения:
Похожие вопросы
Предмет: Русский язык,
автор: smirnovavarya2
Предмет: Английский язык,
автор: юлия301
Предмет: Английский язык,
автор: 1189242389
Предмет: Химия,
автор: Kseniya899
Предмет: Обществознание,
автор: d099382