Предмет: Геометрия,
автор: siri1901
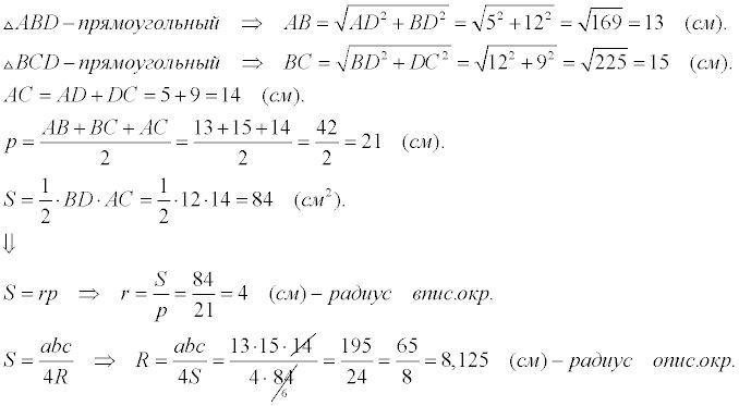
3. Дан треугольник ABC, как показано на рисунке. Найдите радиусы вписанной и
описанной окружностей.
Приложения:
Ответы
Автор ответа:
49
Ответ:
Объяснение:
Может еще нуден ответ
Приложения:
Похожие вопросы
Предмет: Английский язык,
автор: киса103
Предмет: Русский язык,
автор: каукен
Предмет: Українська мова,
автор: Pashukinna
Предмет: Математика,
автор: VladislavZaborskii
Предмет: Русский язык,
автор: sveataaverbuh