Предмет: Химия,
автор: nikolajbelousov16691
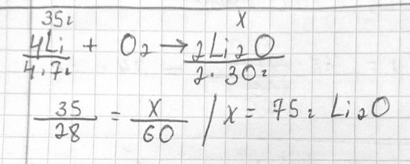
какова масса оксида лития образовавшегося при взаимодействии 35 грамм лития с кислородом(если будете на листочке решать пишите понятно)спасибо
nikolajbelousov16691:
срочно
Ответы
Автор ответа:
0
Ответ:
75г Li2o
---------------/
Приложения:
Автор ответа:
0
Ответ:
Объяснение:
Дано:
m(Li) = 35г
Найти m(Li2O)
Решение
(1) 4Li + О2= 2Li2O
n(Li) : n(Li2O) = 4:2 => m(Li2O) =n(Li) * 0,5 * M(Li2O) = (35 : 7 * 0,5 * 30) г. =75г.
Ответ: m(Li20) = 75г.
Похожие вопросы
Предмет: Русский язык,
автор: Demchenkodemch
Предмет: Русский язык,
автор: elvinaelvina14
Предмет: Русский язык,
автор: маншукестекова
Предмет: Математика,
автор: help22078689