Предмет: Математика,
автор: aidanabalma1990
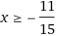
10(1,1+0,1x)+2x≥7,5-3(2,5+4x)
Ответы
Автор ответа:
0
Ответ:
Автор ответа:
0
Вроде так, надеюсь правильно, большой пример однако
Приложения:
Похожие вопросы
Предмет: Қазақ тiлi,
автор: sardi548
Предмет: Русский язык,
автор: lyudmilka81
Предмет: Английский язык,
автор: dtduccd
Предмет: Обществознание,
автор: Шуана111