Предмет: Математика,
автор: karina200320000
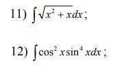
ПОЖАЛУЙСТА РЕШИТЕ Неопределенные интегралы. ставлю 50 баллов.
Приложения:
Ответы
Автор ответа:
1
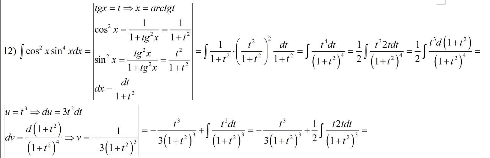
Ответ:
Пошаговое объяснение:
/////////////////////////////////
Приложения:
karina200320000:
спасибо вам большое хороший человек!!!!!
от хорошего слышу, на здоровье
))))
в 11 в конце поменяй знаки
Похожие вопросы
Предмет: Русский язык,
автор: mil828216
Предмет: Русский язык,
автор: nikita8623
Предмет: Русский язык,
автор: 14D200
Предмет: Обществознание,
автор: alexpavlov20