Предмет: Математика,
автор: karina200320000
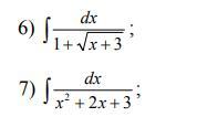
ПОЖАЛУЙСТА РЕШИТЕ Неопределенные интегралы. ставлю 50 баллов.
Приложения:
Ответы
Автор ответа:
1
Ответ:
Пошаговое объяснение:
Не судите строго
Приложения:
palilov243659:
в 7 вкралась ошибка. обещаю исправить
Похожие вопросы
Предмет: Русский язык,
автор: арбузик24132003
Предмет: Английский язык,
автор: catzhuckova2015
Предмет: Окружающий мир,
автор: kolesnikovamari
Предмет: Математика,
автор: milanasemenova