Предмет: Математика,
автор: AXAXAXAXXAXXAX
Реши уравнение.
3x = 21; x =
3x + 6 = 0; x =
3x + 2 = −10; x =
4z = 20; z =
4z − 10 = 0; z =
4z − 7 = 29; z =
y − 5 = 2; y =
5 + 4z = 1; z =
5 − 3x = −16; x =
x + 6 = 4; x =
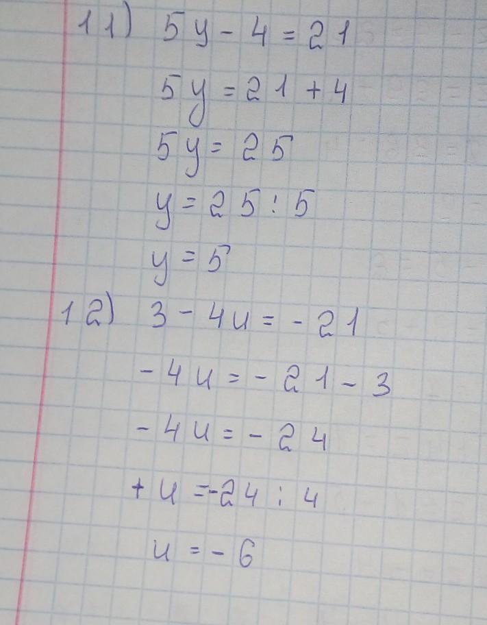
5y − 4 = 21; y =
3 − 4u = −21; u =
Ответы
Автор ответа:
1
Вот ответ!!
Смотри выше
Приложения:
Похожие вопросы
Предмет: Русский язык,
автор: катя1413
Предмет: Русский язык,
автор: lunachka86
Предмет: Русский язык,
автор: Аноним
Предмет: География,
автор: arukaboss2
Предмет: Русский язык,
автор: natalya116