Предмет: Математика,
автор: nastyak12119
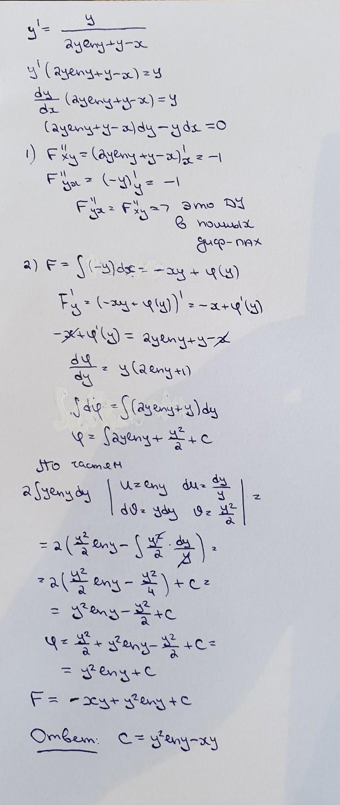
Найти общее решение уравнения:
y ' =у/( 2 y ln y + y − x)
Номер 3962
Приложения:
Ответы
Автор ответа:
1
Ответ:
решение на фотографии.
Приложения:
Похожие вопросы
Предмет: Другие предметы,
автор: Olesy2025
Предмет: Русский язык,
автор: гаг3
Предмет: Технология,
автор: TaipanTi
Предмет: География,
автор: Сонька3420