Предмет: Алгебра,
автор: poranoutiso
Помогите пожалуйста
Решите задачу:
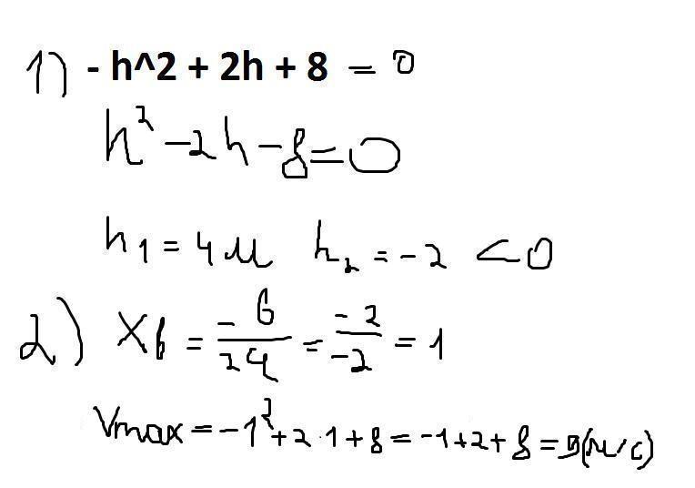
Для некоторой реки экспериментально установили следующую зависимость скорости течения реки v(м/с) от глубины h (м)
V(t) =- h2+2h+8
1) Найдите максимальную глубину реки (т.е. глубину, где v=0)
2) Найти максимальную скорость реки?
Ответы
Автор ответа:
1
Ответ:
Максимальную глубину реки 4 м
Максимальную скорость реки 9 (м/с)
Приложения:
Похожие вопросы
Предмет: Українська мова,
автор: pinkangel80
Предмет: Русский язык,
автор: tyutyunikova2005
Предмет: Русский язык,
автор: 89142619398
Предмет: Обществознание,
автор: MiraiStoroko
Предмет: Математика,
автор: владислав1256