Предмет: Алгебра, автор: vika2857

Помогите, пожалуйста,очень надо ❤❤​

Приложения:

Ответы

Автор ответа: table123
0

Ответ:

Объяснение:

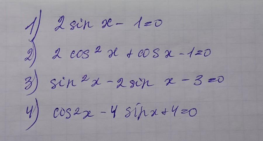
1) sinx=1/2,  x=p/6+2pn,  x=5p/6+2pn,   n   E   Z

2)cosx=y,   2y^2+y-1=0,  D=1+8=9,  y1=-1+3 /4=2/4=1/2,  

y2=-1-3 /4=-1,  тогда,   сosx=1/2,  x=+-p/3+2pn

u cosx=-1,  x=p+2pn

3)  sinx=y,  y^2-2y-3=0,  корни  y1=-1,  y2=3 (не подходит, т.к. -1<=sinx<=1 )

sinx=-1,  x= -p/2+2pn,  n   E   Z

Похожие вопросы
Предмет: Русский язык, автор: drpjop
Предмет: Русский язык, автор: радуга43838294
Предмет: Информатика, автор: Дош0210
Предмет: Английский язык, автор: sandirdsy