Предмет: Алгебра,
автор: maksimkapitan71
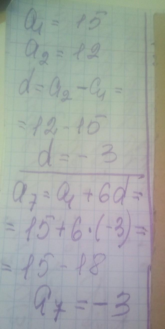
знайдіть 7 член арифметичної прогресії 15;12
Ответы
Автор ответа:
4
Ответ:
решение смотри на фотографии
Приложения:
Автор ответа:
4
Ответ: -3
Объяснение:
b1=15, b2=12, d=12-15=-3, b7=b1+6d=15+6*(-3)=15-18=-3
Похожие вопросы
Предмет: Английский язык,
автор: surchina70
Предмет: Русский язык,
автор: anaitziroyan
Предмет: Русский язык,
автор: sochi2014533
Предмет: Химия,
автор: Аноним