Предмет: Математика,
автор: boc220
помогите !!!!!!!!!!!!!!!!!
Приложения:
Ответы
Автор ответа:
0
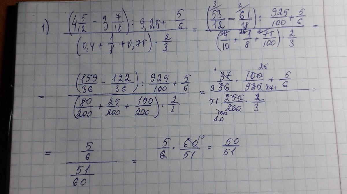
Ответ:
Пошаговое объяснение:
Приложения:
boc220:
прости но ответ должен получится 1 целая 1/9
окей это ты извини
Похожие вопросы
Предмет: Українська мова,
автор: Саша170308
Предмет: Русский язык,
автор: veralunochkina
Предмет: Русский язык,
автор: JuliaHolodok
Предмет: Физика,
автор: Drago41
Предмет: Английский язык,
автор: Chanyeol81