Предмет: Математика, автор: дарья132

Начертите на нелинованной бумаге прямоугольный треугольник, у которого стороны, образующие прямой угол, равны 3см и 5см. Обозначьте его. Измерьте сторону,противолежащую прямому углу. Вычислите периметр треугольника.

Ответы

Автор ответа: dashakovtun27
0
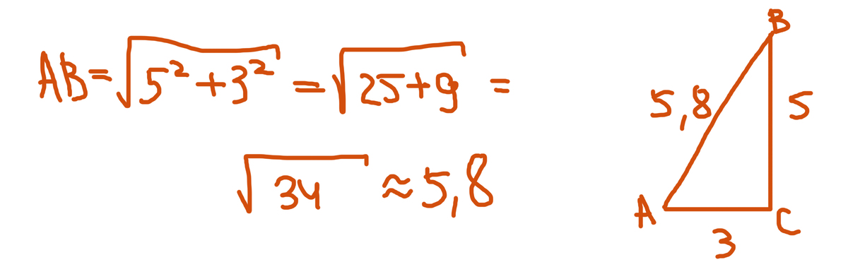
можно измерить, можно вычислить по теореме пифагора
тогда P=5+3+5.8=8+5.8=13.8 см
Приложения:
Похожие вопросы
Предмет: Русский язык, автор: alieva020509
Дело было к вечеру. Он шел тихо и глядел на воду. Вдруг ему показалось, что что-то барахтается в тине у самого берега. Он нагнулся и увидел небольшого щенка, белого с черными пятнами, который, несмотря на все свои старания, никак не мог вылезть из воды, бился, скользил и дрожал всем своим мокреньким и худеньким телом. Герасим поглядел на несчастную собачонку, подхватил ее одной рукой, сунул ее к себе в пазуху и пустился большими шагами домой. Он вошел в свою каморку, уложил спасенного щенка на кровати, прикрыл его своим тяжелым армяком, сбегал сперва в конюшню за соломой, потом в кухню за чашечкой молока. Осторожно откинув армяк и разостлав солому, поставил он молоко на кровать. Бедной собачонке было всего недели три, глаза у ней прорезались недавно; один глаз даже казался немножко больше другого; она еще не умела пить из чашки и только дрожала и щурилась. Герасим взял ее легонько двумя пальцами за голову и принагнул ее мордочку к молоку. Собачка вдруг начала пить с жадностью, фыркая, трясясь и захлебываясь. Герасим глядел, глядел да как засмеется вдруг.. . Всю ночь он возился с ней, укладывал ее, обтирал и заснул наконец сам возле нее каким-то радостным и тихим сном.

Разделите пожалуйста текст на абзацы.Спасибо большое!
Предмет: Математика, автор: gachalive1111