Предмет: Математика,
автор: spikestar3887
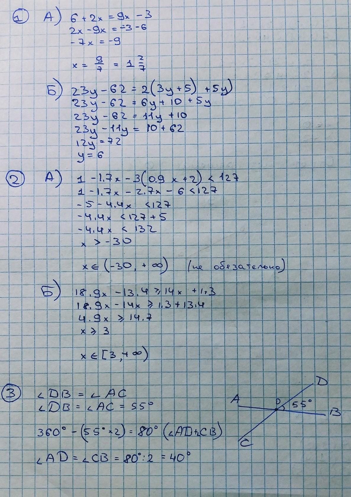
Помогите со всеми заданиями срочно!
ДАМ 40 БАЛЛОВ
Приложения:
Ответы
Автор ответа:
1
Ответ:
Вот правильные ответы
Лвььвьвььв
Приложения:
spikestar3887:
ОТ ДУШИ)
Похожие вопросы
Предмет: Русский язык,
автор: shutenkod
Предмет: Русский язык,
автор: Уматка
Предмет: Русский язык,
автор: iftixarbabaev
Предмет: Математика,
автор: Zozik6377
Предмет: Английский язык,
автор: yuliaaitmuhamet