Предмет: Алгебра,
автор: Foryou20
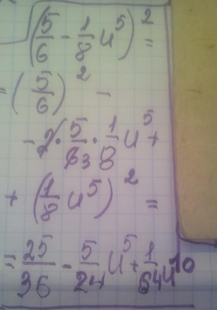
Представь квадрат двучлена в виде многочлена:
(5/6 - 1/8 u5) 2
Ответы
Автор ответа:
0
Ответ:
решение смотри на фотографии
Приложения:
Похожие вопросы
Предмет: Русский язык,
автор: natashsa2
Предмет: Українська мова,
автор: panda91
Предмет: Русский язык,
автор: qazwsxedc3
Предмет: Математика,
автор: neverno1
Предмет: Литература,
автор: sofyasimonovaLossony