Предмет: Математика,
автор: NNN2345
помогите пожалуйста отмечу лучший ответ
Приложения:
Ответы
Автор ответа:
1
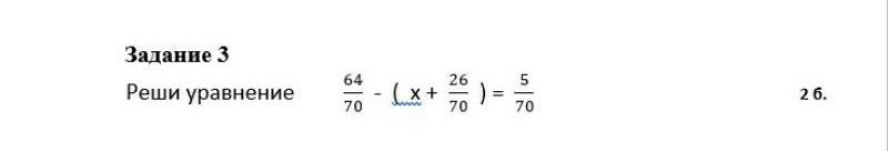
Ответ:
х= 33/70
Пошаговое объяснение:
если нужен разбор, то пиши
Похожие вопросы
Предмет: Русский язык,
автор: АяДавыдова
Предмет: Русский язык,
автор: тим53
Предмет: Русский язык,
автор: алексмери
Предмет: Математика,
автор: oleggorainov
Предмет: Химия,
автор: 515qwesd