Предмет: Алгебра, автор: veradmi02

упростите выражение:
в) (а+4)(1-а)+а^2
г) (m + 2)(m^2-m+2)
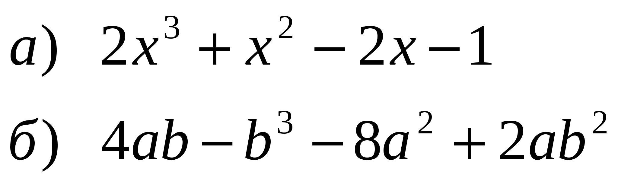
представьте в виде произведения (фотка).
помогиииите!

Приложения:

Ответы

Автор ответа: alina469628
1

Ответ:

а)

x {}^{2} \times (2x + 1) - (2x + 1)

(2x + 1) \times (x {}^{2} - 1)

(2x - 1) \times (x - 1) \times (x + 1)

б)

b \times (4a - b {}^{2}) - 2a \times (4a - b) {}^{2}

(4a - b {}^{2}  \times (b - 2a)

в)

a - a {}^{2}  + 4 - 4a + a {}^{2}

 - 3a + 4

г)

m \times (m {}^{2}  - m + 2) + 2(m {}^{2} - m + 2)

m {}^{3}  - m {}^{2}  + 2m + 2m {}^{2}  - 2m + 4

m {}^{3}  + m {}^{2}  + 4


veradmi02: огромное спасибо!
Похожие вопросы
Предмет: Русский язык, автор: Максончнчик
Предмет: Алгебра, автор: alevtinamichayl