Предмет: Математика,
автор: AkStar18
ДАЮ 30 БАЛЛОВ! ОТЛИЧНИКИ, УЧЕНЫЕ ПОМОГИТЕ ПЖ! на фото❤
Приложения:
Ответы
Автор ответа:
1
Пошаговое объяснение:
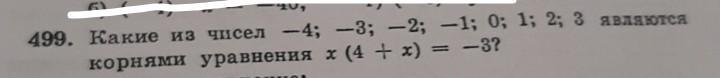
x(4+x)=-3
4x+x^2+3=0
следовательно по теореме виета
x=-1
x=-3
Автор ответа:
1
x(4+x)= -3
4x+ x^2= -3
4x +x^2+3= 0
X^2+4x+3=0 получилось квадратное уравнение
По теореме виете:
X1+x2= -4
X1 •x2= 3
Значит корни:
X1 =-3 x2= -1
AkStar18:
какое именно корни, назови
пж'
Отмечу как лучший! мне ответ нужен
Написала же, корни -3 и -1
Похожие вопросы
Предмет: Русский язык,
автор: mariameison
Предмет: Английский язык,
автор: marisobelka
Предмет: Русский язык,
автор: Aminaki
Предмет: Английский язык,
автор: Lsssssspppppo
Предмет: Английский язык,
автор: elizaveta25042006