Предмет: Алгебра, автор: Roberta2233

помогите пж дам 10 баллов

Приложения:

Ответы

Автор ответа: millatyk8
1

Ответ:

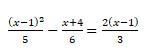
6 {(x - 1)}^{2}  - 5(x + 4) = 10 \times 2(x - 1) \\ 6 {x}^{2}  - 12x + 6 - 5x - 20 - 20x + 20 = 0 \\ 6 {x}^{2}  - 37x + 6 = 0 \\

D=37²-4*6*6=1225

x1=(37-√1225)/12= (37-35)/12=2/12=1/6

x2=(37+35)/12=72/12=6

відповідь: х1=1/6; х2=6.

Похожие вопросы
Предмет: Русский язык, автор: кристина307