Предмет: Математика,
автор: AyanIos
СРОЧНО!ДАЮ 10 БАЛЛОВ!
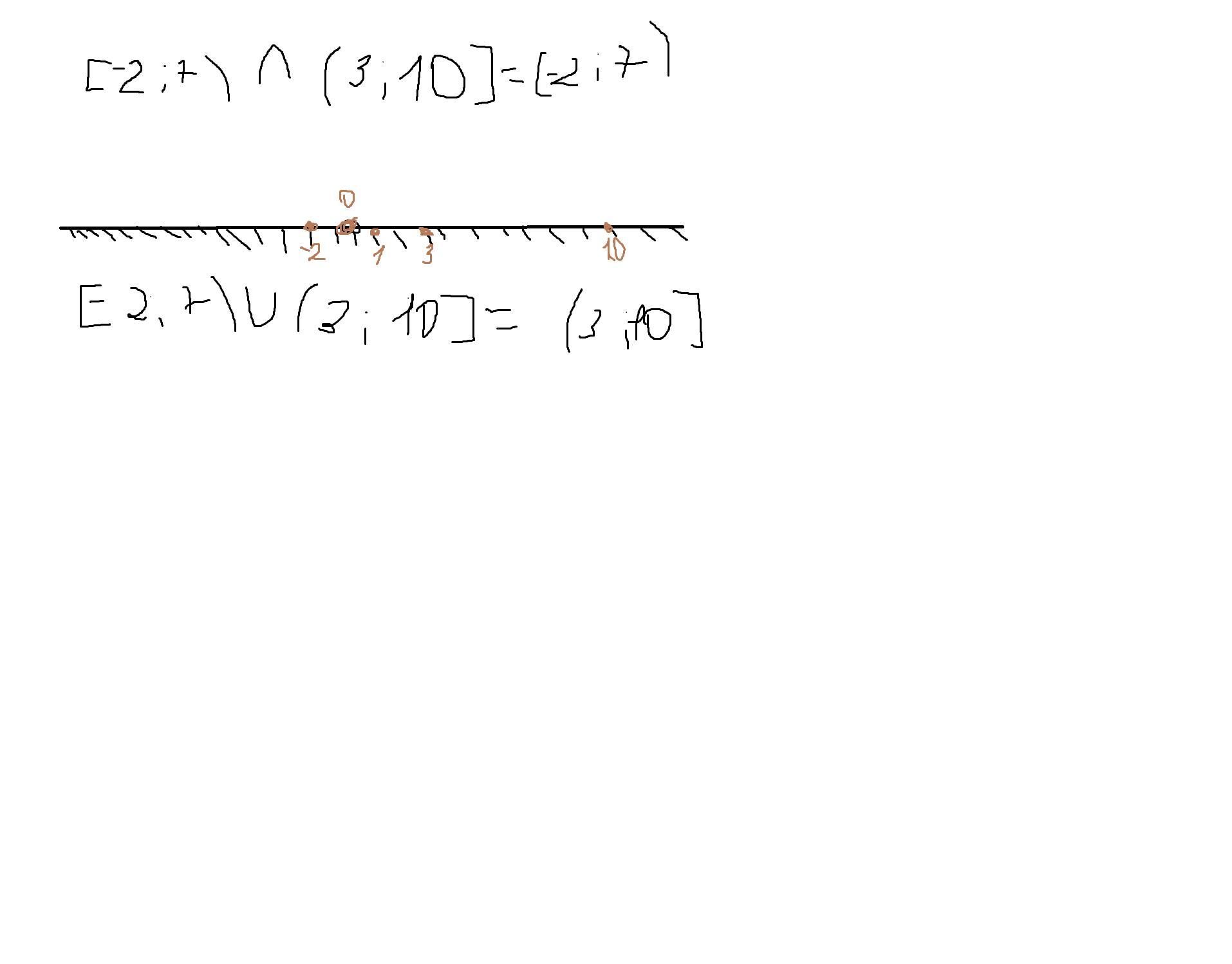
Изобразите на координатной прямой и запишите пересечение и объединение числовых промежутков: [ –2; 7) и (3; 10].
Ответы
Автор ответа:
0
Ответ:
ОтВЕТ СМОТРИ на фото
Пошаговое объяснение:
Приложения:
Похожие вопросы
Предмет: Русский язык,
автор: АлисаСеменякина
Предмет: Русский язык,
автор: PaNTeRA009
Предмет: Русский язык,
автор: kondybkoi
Предмет: Английский язык,
автор: БондДима