Предмет: Математика,
автор: kowi4445
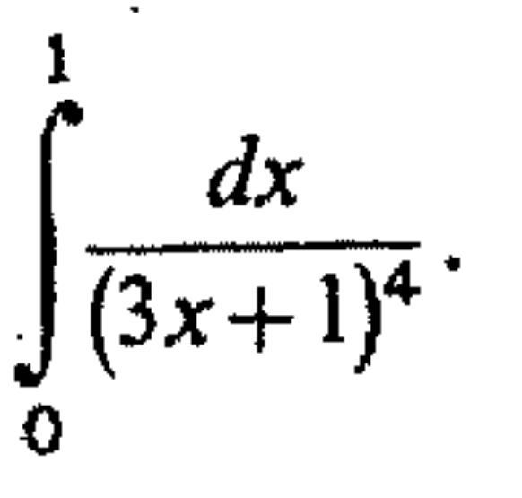
Определенный интеграл, помогите пожалуйста
Приложения:
Ответы
Автор ответа:
3
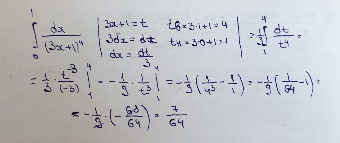
Ответ:
решение на фотографии.
Приложения:
Похожие вопросы
Предмет: Русский язык,
автор: кувина
Предмет: Окружающий мир,
автор: havaaaaa
Предмет: Русский язык,
автор: AngelinaMikheeva
Предмет: Русский язык,
автор: gigov1610sp