Предмет: Химия,
автор: aoaoa18
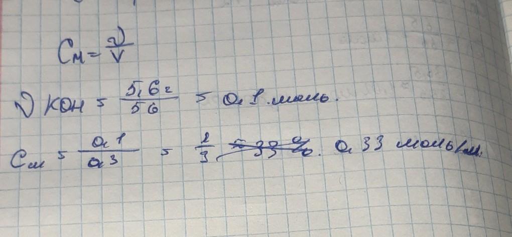
Раствор, объёмом 300 мл, содержит KOH массой 5,6 г. Определить молярную концентрацию этого раствора.
даю 50 баллов!!!!!
Ответы
Автор ответа:
2
Объяснение:
ответ на фото что не понятно спрашивай
Приложения:
aoaoa18:
спасибо, сдала уже по другому.
Похожие вопросы
Предмет: Окружающий мир,
автор: ctrienko
Предмет: Русский язык,
автор: маша307
Предмет: Русский язык,
автор: svetl8383
Предмет: Математика,
автор: mazukabzovalan4
Предмет: Қазақ тiлi,
автор: 206Соня206