Предмет: Алгебра, автор: coolunnameduser

\frac{x}{x+5}+7\  \textgreater \ 0. Почему получается x\  \textless \ -5, а не x\  \textgreater \ -5?

Ответы

Автор ответа: NNNLLL54
1

Ответ:

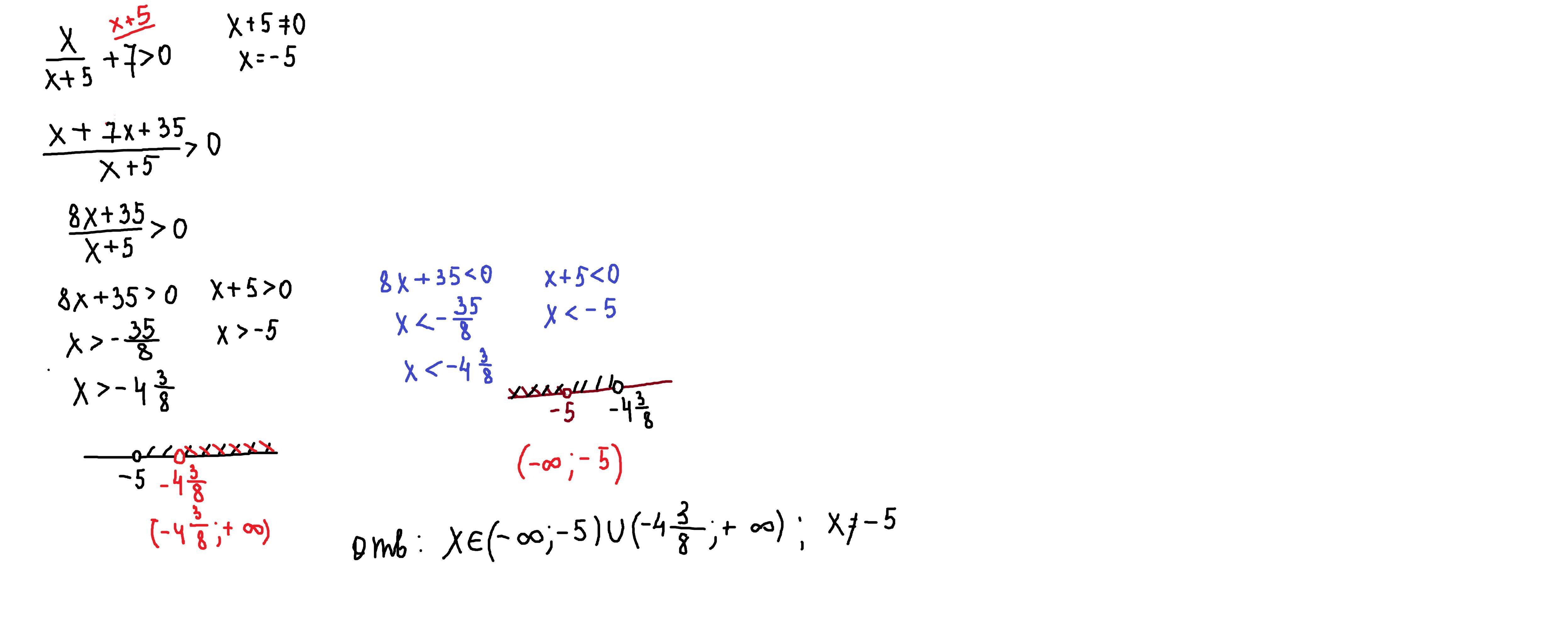
\dfrac{x}{x+5}+7>0\ \ ,\ \ \ \ ODZ:\ x\ne -5\ ,\\\\\\\dfrac{x+7(x+5)}{x+5}>0\ \ ,\ \ \dfrac{8x+35}{x+5}>0\ \ ,\\\\\\znaki:\ \ \ +++(-5)---(-\frac{35}{8})+++\\\\\underline {\ x\in (-\infty ;-5\, )\cup (-4,375\ ;\, +\infty )\ }\ \ -\ \ otvet\\\\\star \ \ -\dfrac{35}{8}=-4,375\ \ \star

Автор ответа: parus77
1

Ответ:

Объяснение:

произведение положительно когда каждый из двух множителей положительный или они оба отрицательные.

поэтому рассматриваем оба случая.

Приложения:
Похожие вопросы
Предмет: Окружающий мир, автор: 5817723
Предмет: Қазақ тiлi, автор: Аноним
Предмет: Русский язык, автор: diana915
Предмет: Геометрия, автор: slastenina704
Предмет: Қазақ тiлi, автор: димаш2007