Предмет: Алгебра,
автор: daprikin
Разложите на множители:
16a^2-(x-y)^2
(5a-4c)^2-(3b+8d)2
(m-2n)^2-(2p-3q)^2
Даю 15 б.
Ответы
Автор ответа:
0
Ответ:
16a²-x²+2xy-y²
25a²-40ac+16c²-9b²-48bd-64d²
m²-4mn+4n²-4p²+12pq-9q²
Автор ответа:
0
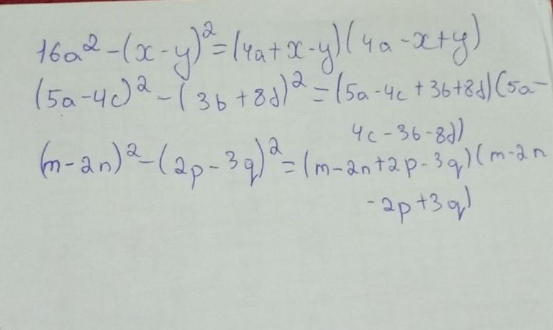
16a^2-(x-y)^2=(4a+x-y)(4a-x+y)
(5a-4c)^2-(3b+8d)^2=(5a-4c+3b+8d)(5a-4c-3b-8d)
(m-2n)^2-(2p-3q)^2=(m-2n+2p-3q)(m-2n-2p+3q)
Приложения:
Похожие вопросы
Предмет: Русский язык,
автор: roksana1708
Предмет: Русский язык,
автор: Dip228
Предмет: Русский язык,
автор: ihsanowbulat
Предмет: Математика,
автор: PUKINATOR8
Предмет: Математика,
автор: ProYcheebnik