Предмет: Математика, автор: Marysstp

СРОЧНО ПОМОГИТЕ как решается??​

Приложения:

Ответы

Автор ответа: Аноним
1

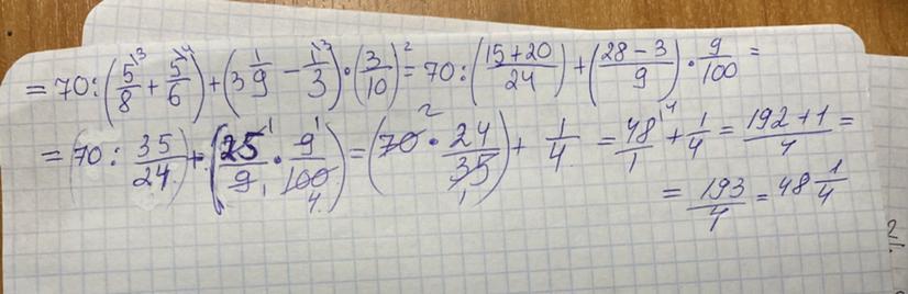
Ответ:

70 \div ( \frac{5}{8}  +  \frac{5}{6}) +(3 \frac{1}{9}  -  \frac{1}{3} )( \frac{3}{10} ) {}^{2}  = 48 \frac{1}{4}


Marysstp: СПАСИБО БОЛЬШОЕ СЧАСТЬЯ ТЕБЕ
Автор ответа: regina2324
1
Держи❤️❤️)))))))))))))
Приложения:

Marysstp: СПАСИБО ОГРОМНОЕ ЗА ПОЛНОЕ РЕШЕНИЕ БЛАГОПОЛУЧИЯ И СЧАСТЬЯ ТЕБЕ
Похожие вопросы
Предмет: Русский язык, автор: ZRSP