Предмет: Математика, автор: ban42

пожалуйста объясните как их решать. ​

Приложения:

Ответы

Автор ответа: Аноним
0

Ответ:

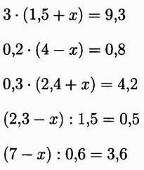
3(1,5+x)=9,3

4,5+3x=9,3

3x=9,3-4,5

3x=4,8

x=4,8÷3

x=1,6

0,2(4-x)=0,8

0,8-0,2x=0,8

-0,2x=0,8-0,8

-0,2x=0

x=0÷-0,2

x=0

0,3(2,4+x)=4,2

0,72+0,3x=4,2

0,3x=4,2-0,72

0,3x=3,48

x=3,48÷3

x=1,16

Автор ответа: nikaso68
1

Ответ:

3(1,5+x)=9,3 0,2×(4-x)=0,8 0,3×(2,4+x)=4,2 (2,3-x)÷1,5=0,5 (7-x)÷0,6=3,6

1,5+x=9,3÷3 4-x=0,8÷0,2 2,4+x=14 (23/10-x)÷3/2=1/2 (7-x)÷3/5=18/5

1,5+x=3,1 4-x=4 x=14-2,4 (23/10-x)×2/3=1/2 (7-x)×5/3=18/5

x=3,1-1,5 x=0 x=11,6 23/15-2/3x=1/2 35/3-5/3x=18/5

x=1,6 46-20x=15 175-25x=54

Пошаговое объяснение:

-20x=-31 -25x=54-175

x=31/20=1 11/20 -25x=-121

x=121/25=4 21/25

Похожие вопросы
Предмет: Математика, автор: карен0207
Предмет: Алгебра, автор: russckaiakat