Предмет: Химия,
автор: iraserdukova1252
помогите, пожалуйста
Приложения:
Ответы
Автор ответа:
0
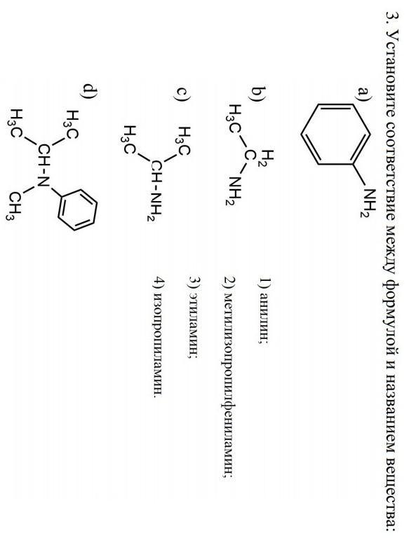
Ответ:
а) анилин b) этиламин c) изопропиламин d) 2
Объяснение:
Автор ответа:
0
A) анилин — 1
B) этиламин — 3
C) изопропиламин — 4
D) метилизопропилфениламин — 2
Похожие вопросы
Предмет: Русский язык,
автор: Zzzikkk
Предмет: Русский язык,
автор: balslusharipov
Предмет: Українська література,
автор: ирчик2
Предмет: История,
автор: AlisaCat050204
Предмет: Математика,
автор: Топчикесличто