Предмет: Алгебра, автор: razabovtimur76

Упростите. Пожалуйста скорее ​

Приложения:

Ответы

Автор ответа: Miroslava227
2

Ответ:

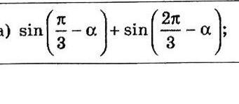
 \sin( \frac{\pi}{3} -   \alpha )  +  \sin( \frac{2\pi}{3} -   \alpha   )  =  \\  =  \sin( \frac{\pi}{3} )  \cos( \alpha )  -  \sin( \alpha )  \cos( \frac{\pi}{3} )  +  \sin( \frac{2\pi}{3} )  \cos( \alpha )  -  \sin( \alpha )  \cos( \frac{2\pi}{3} )  =  \\  =  \frac{ \sqrt{3} }{2}  \cos( \alpha )  -  \frac{1}{2}  \sin( \alpha )  +  \frac{ \sqrt{ 3} }{2}  \cos( \alpha )  +  \frac{1}{2}  \sin( \alpha )  =  \\  =  \sqrt{3}  \cos( \alpha )

Похожие вопросы
Предмет: Русский язык, автор: annamashovets
Предмет: Английский язык, автор: natanovoseltse