Предмет: Математика, автор: CHICHA1LOVE

Пределы, даю 50 баллов

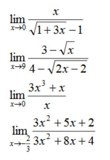
Приложения:

Ответы

Автор ответа: karlygasbajsanaseva
0

Ответ:

это первое задача.......

Приложения:
Похожие вопросы
Предмет: Русский язык, автор: мариякотикова
Предмет: Английский язык, автор: eeeeukraina
9 Match the title with the text. There is one extra title in the task.

1. The recording process
2. The name of the book comes to me
3. Trying to set things clear
4. Working for money
5. Writing a book
6. The history of success
7. The doubts about the project
8. Too expensive for me

A. The history of this book is now quite complicated. So every time I try to tell it I don’t tell it right. And when finally I tell it right, I’m misunderstood. So the publication of this edition seemed like a good opportunity to clear up some facts about this book.

B. It started when I was traveling in Austria as a hitch hiker. I didn’t buy a book ‘Europe on Five Dollars a Day’, because I didn’t have as much money as that for travelling. So I’ve borrowed from someone a very old copy of the ‘Hitch Hiker’s Guide to Europe’ which suited me well.

C. After I spent a day in Innsbruck, I went out into the countryside and lay down in the field. The stars came out and I thought, it might be good if someone would write a ‘Hitchhiker’s Guide to the Galaxy’ as well. That’s how the idea of this book was born.

D. Then I was addressed by someone from BBC with an idea of making the radio series on science fiction. And that’s when the idea of this book popped up again in my mind. I think that the BBC’s officials hesitated a lot about this project but they had little choice for it has been started already.

E. When the script was ready, we started the recording. Sometimes we were working with the sound engineers for weeks to produce a single sound effect. Everyone complained that we are stealing their studio time and this was absolutely true. The budget of the series has grown up twice by that time.

F. In the meantime I was also writing for other radio series and editing the scripts for TV series. Of course it is very nice to be the author of some radio program and tell your friends that you are on the radio, but on the other hand that doesn’t bring you a lot of money at once.

G. The first episode went out on BBC Radio 4 on March 8, 1978. But it seemed to pass unnoticed for there was no publicity, no discussion in magazines and newspapers. So all we were doing seemed to be pointless. But then the book “The Hitchhiker’s Guide to the Galaxy” was published in England in September 1979 and appeared on the Sunday Times best-seller list at number one and just stayed there. That’s how it has got to be popular.