Предмет: Алгебра, автор: zakaboy

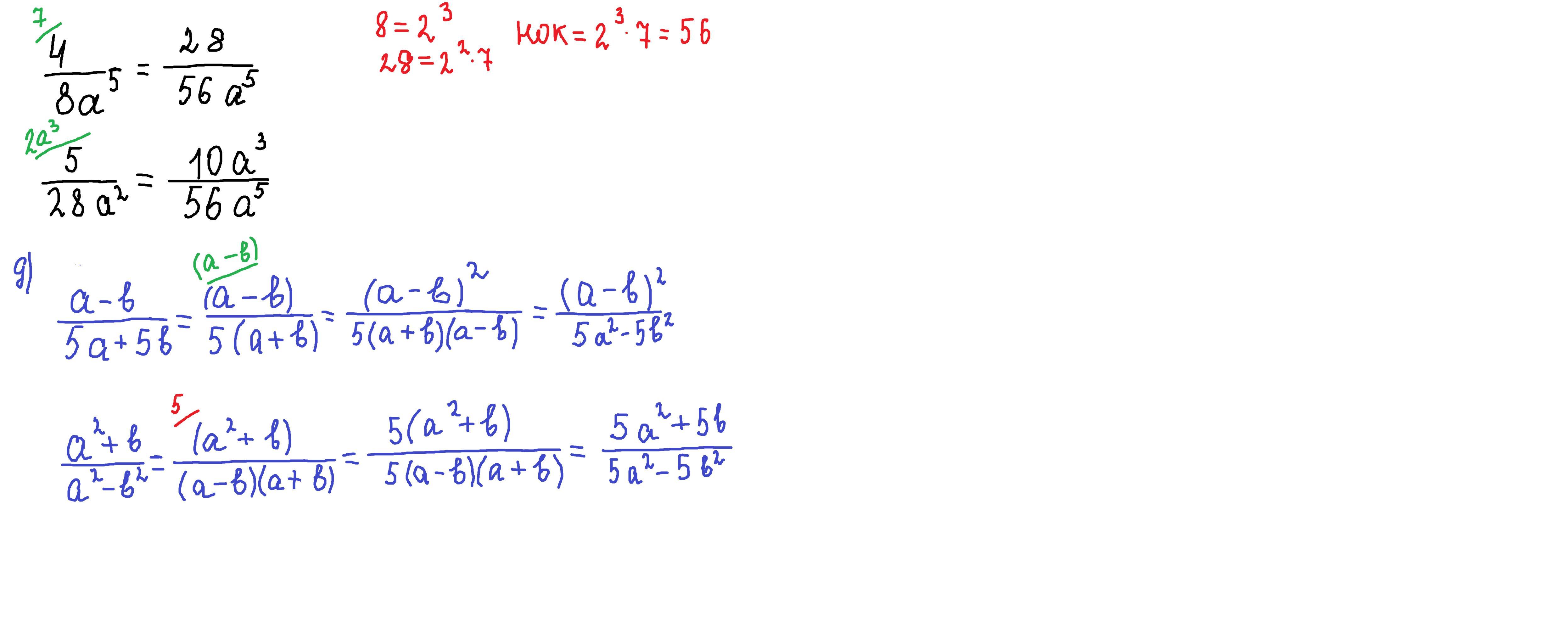
Пожалуйста помогите решить.дам как можно больше баллов!! Приведите дроби к общему знаменателю:​

Приложения:

Ответы

Автор ответа: parus77
1

Ответ:

Объяснение:

решение внизу

Приложения:
Похожие вопросы
Предмет: Русский язык, автор: сластена27
Предмет: Русский язык, автор: Luna1211
Упр. 7 Определите способ связи предложений в тексте (цепная или параллельная). Подчеркните средства связи предложений одной чертой, надпишите их названия, воспользовавшись справочным материалом.
1) Более полувека назад вышло в свет первое издание всемирно известного «Словаря русского языка» С. И. Ожегова. Наверное, нет такого человека в нашей стране, который ни разу в жизни не обращался к этому справочнику. Более того, словарь стал настольным пособием для тех, кому дорог и кому нужен русский язык. Этот замечательный справочник, созданный великим лексикографом XX века Сергеем Ивановичем Ожеговым, намного пережил своего творца и составителя. (По В. Д. Янченко)
Справочный материал: личное местоимение, указательное местоимение, повтор слова, синоним, вводное слово.
2) Родиной самого первого алфавитного письма была Древняя Финикия. Затем в эпоху Античности буквенно-звуковое письмо, изобретенное древними финикийцами, было воспринято греками. Считается, что древние греки позаимствовали письменность у финикийцев, несколько изменив и дополнив их алфавит новыми буквами. При этом если в алфавите финикийцев было 22 буквы, то в греческом их стало 24. (По В. Д. Янченко)
Предмет: Русский язык, автор: анастасия0303032001