Предмет: Математика,
автор: maksimovanastya34
Помогите с системой уравнений, если можно с объяснением.
Приложения:
Ответы
Автор ответа:
0
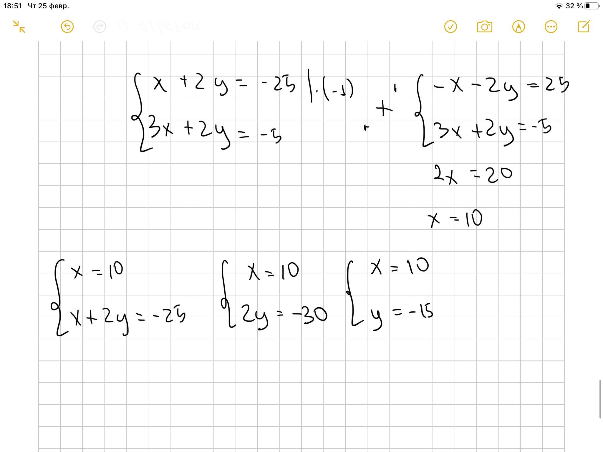
Ответ:
сначала домножить на -1, потом применить метод сложения, узнаём х, потом применяем метод подстановки и находим у
там когда я находила у, должно получиться -17,5
Приложения:
maksimovanastya34:
спасибо
Автор ответа:
0
Ответ:
-n-2y = 25. 3n-n-2y+2y = 25 + ( - 5)
3n + 2y = -5. 2n = 20
n = 10
2 y = -25 -10
y= -17,5
Похожие вопросы
Предмет: Русский язык,
автор: pli59
Предмет: Русский язык,
автор: fltkbyfehvfy
Предмет: Қазақ тiлi,
автор: malika31
Предмет: Алгебра,
автор: dinosaur2
Предмет: Английский язык,
автор: troiboy