Предмет: Математика,
автор: df177
СРОЧНО!!!дам 30 баллов
Приложения:
Ответы
Автор ответа:
0
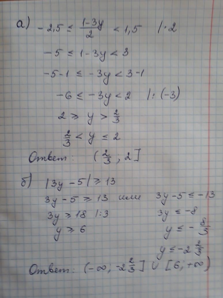
Ответ:
Пошаговое объяснение:
Приложения:
Автор ответа:
0
Ответ:
ответ во вложении
Пошаговое объяснение:
Приложения:
Похожие вопросы
Предмет: Українська мова,
автор: alexalex5
Предмет: Українська мова,
автор: natashagaripova
Предмет: Українська мова,
автор: Аноним
Предмет: Математика,
автор: kamillabarton
Предмет: Математика,
автор: mileyna2008