Предмет: Алгебра,
автор: ilyayes22833377
Помогите пожалуйста срочно даю 50 баллов
Приложения:
Ответы
Автор ответа:
0
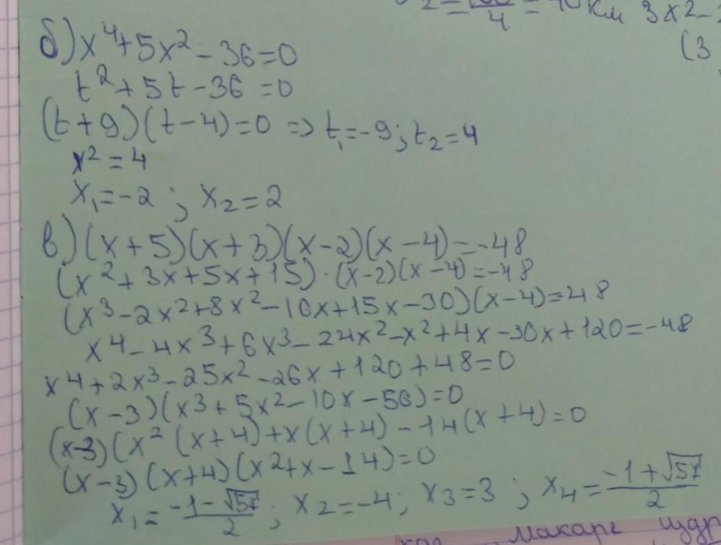
Ответ:
Вот .....................
Приложения:
Похожие вопросы
Предмет: Русский язык,
автор: alino4kaNurtazina
Предмет: Русский язык,
автор: БыстраяБелка
Предмет: Русский язык,
автор: Рэй1
Предмет: Русский язык,
автор: DenWoif
Предмет: Математика,
автор: Margo756